지난 번에 영상 회전에 관해 알아보면서 warpAffine() 함수 사용법에 대해 간단히 알아 보았습니다.
[OpenCV][C++] 영상 회전(image rotation)하는 방법 - getRotationMatrix2D(), warpAffine()
이번에는 영상을 특정 각도로 회전시키는 방법에 대해 알아보겠습니다. 2D 회전 행렬은 아래와 같습니다. ...
blog.naver.com
이 글에 대한 링크는 아래와 같습니다.
https://blog.naver.com/dorergiverny/223106225174
[OpenCV][C++] 기하학적 변환 (Geometric Transform) 총정리 - warpAffine, warpPerspective transformation
지난 번에 영상 회전에 관해 알아보면서 warpAffine() 함수 사용법에 대해 간단히 알아 보았습니다. https...
blog.naver.com
이번에는 좀 더 상세히 알아보도록 하겠습니다.
기하학적 변환(Geometric Transformation)이란?
기하학적 변환은 영상을 사용자가 원하는대로 확대, 축소, 위치 변경, 회전, 왜곡 등을 하는 이미지 변환하는 것을 의미합니다. 즉 영상을 구성하는 픽셀의 위치들을 재배치하고 새로운 픽셀 값을 생성하여 넣는 것(interpolation)을 포함합니다.
지난번에 동차 좌표계(homogeneous coordinate)에 대해 간단히 설명하면서 2차원 점인 (x, y)를 (x, y, 1)인 3개의 원소인 벡터로 표시한다고 했죠?
[C++] 직선(선분)의 방정식 표현 총정리 - line homogeneous coordinate 두 점 지나는
이번에는 직선 또는 선분을 나타내는 다양한 방법과 제가 추천하는 방법에 대해 정리해볼까 합니다. 직선 (...
blog.naver.com
하나의 점 (x, y)에서 새로운 좌표 (x', y')로 이동하는 것을 수식으로 나타내면, 아래와 같이 나타낼 수 있습니다. 가운데 3x3 행렬이 바로 변환 행렬(Transform matrix)라고 하는데, 2D - 2D 변환 행렬이므로 호모그래피(homography)라고 표현할 수 있습니다.

우리는 영상에서 다른 영상으로의 변환이기 때문에 3x3 행렬 내에서 모든 변환이 가능합니다.
공간(space)는 아래와 같이 4가지로 정의됩니다.
Euclidean Space, Similarity Space, Affine Space, Projective Space 입니다.

각 space의 특징은 어떠한 성질이 보존되는지에 따라 결정됩니다. 요약해서 간단히 설명드릴께요.
1. 병진 변환 (Translation Transformation)
x 축으로 a만큼, y 축으로 b만큼 이동하는 행렬은 아래와 같습니다.

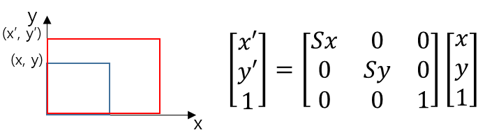
2. 크기 변환 (Scale Transformation)
x 방향으로 Sx만큼, y 방향으로 Sy 만큼 크기를 변환하는 행렬은 아래와 같습니다.

3. 회전 변환 (Rotation Transformation)
임의의 각도(θ)로 회전시키는 변환은 아래와 같습니다.

4. 전단 변환(Shear Transformation)
x 축 또는 y 축 방향으로 영상이 밀리는 것처럼 보이는 변환이며, 아래와 같습니다.
특히 아래 예시와 같은 변환은 y 축 값은 변화하지 않으니 my = 0이 되고, mx 만 값이 있게 됩니다.

여기까지의 변환들을 조합하면 Affine Transformation이 가능해집니다.
어파인 변환 (Affine Transformation)
한글 책에서는 아핀 변환이라고도 부르기도 합니다. Affine 변환은 3x3 형태의 행렬입니다. 위에서 설명한 것과 같이 변환 전의 서로 평행한 선은 변환 후에도 평행함을 유지하는 변환으로 세번째 행의 값은 항상 0, 0, 1을 갖기 때문에 OpenCV에서는 불필요한 연산을 줄이기 위해 2x3 행렬로 표현을 합니다.

Affine Transformation은 6DoF 이기 때문에 3쌍의 점이 있으면 구할 수 있습니다.
Affine 행렬을 구하는 함수 원형은 아래와 같습니다.

|
srcPt[]
|
변환할 좌표
|
|
dstPt[]
|
변환하고자 하는 좌표
|
|
반환값
|
2x3 변환 행렬
|
소스는 아래와 같습니다.
srcPt[] 3점과 dstPt[] 3점 array를 만든 후 getAffineTransform() 함수에 넣으면
2x3 행렬의 affineMat 행렬이 계산되게 됩니다.
지난 시간에 배웠던 warpAffine()을 사용하시면 바로 affine 변환된 영상을 얻을 수 있습니다.
[OpenCV][C++] 영상 회전(image rotation)하는 방법 - getRotationMatrix2D(), warpAffine()
이번에는 영상을 특정 각도로 회전시키는 방법에 대해 알아보겠습니다. 2D 회전 행렬은 아래와 같습니다. ...
blog.naver.com
cv::Mat src = cv::imread("../../images/girl.png", cv::IMREAD_UNCHANGED);
cv::Mat src_affine(src.size(), CV_8UC1);
cv::Point2f srcPt[3];
srcPt[0] = cv::Point2f(0.f, 0.f);
srcPt[1] = cv::Point2f(src.cols - 1.f, 0.f);
srcPt[2] = cv::Point2f(0.f, src.rows - 1.f);
cv::Point2f dstPt[3];
dstPt[0] = cv::Point2f(0.f, src.rows * 0.1f);
dstPt[1] = cv::Point2f(src.cols * 0.9, src.rows * 0.1f);
dstPt[2] = cv::Point2f(src.cols * 0.23, src.rows * 0.8f);
cv::Mat affineMat = getAffineTransform(srcPt, dstPt);
cv::warpAffine(src, src_affine, affineMat, src.size());

참고로 위의 영상은 OpenAI 사의 DALL-E2로 생성한 영상으로 저작권이 없습니다.
원근 변환(Perspective Transformation)
원근 변환 행렬은 3x3행렬입니다. 위의 어파인 변환 행렬의 기본형과 유사하지만 원근 변환에서는 수평성도 유지되지 않습니다. 3개의 좌표를 활용해 변환하는 어파인 변환은 필연적으로 수평성이 유지되지만 원근 변환은 뒤틀림이나 원근 왜곡을 표현해야 하므로 더 많은 미지수가 필요합니다. 원근 변환은 마지막 행의 두개의 미지수가 추가됩니다.
원근 변환은 아래와 같은 변환들이 모두 가능합니다.

사람이 들어간 영상으로 뒤틀림을 만들면 너무 잔인하기 때문에 각자 다른 영상으로 해 보시기 바랍니다. 저는 원근이 드러나도록 변환을 해볼께요.
Perspective Transformation matrix를 구하는 함수 원형은 아래와 같습니다.

형태는 getAffineTransform()과 같으므로 설명은 생략하고, srcPt[], dstPt[] 에 각 4점의 좌표씩 들어가 있어야 하며, 각 순서는 쌍으로 대응이 됩니다.
그럼 이 행렬을 가지고 warping을 하는 함수 원형을 보겠습니다.

|
src
|
입력 영상
|
|
dst
|
출력 영상(회전 변환 결과)
|
|
M
|
원근 (변환) 행렬
|
|
dsize
|
출력 영상의 사이즈
|
|
flags
|
interpolation 방법, 기본: INTER_LINEAR
|
|
borderMode
|
가장자리 확장 방법(채우는 방법), 기본: BORDER_CONSTANT
|
|
borderValue
|
가장자리 채우는 값
|
그럼 이를 이용한 영상의 원근 변환 소스를 보도록 하겠습니다.
소스 위치와 변환 위치 좌표를 설정한 후 getPerspectiveTransform()으로 원근 변환 행렬을 계산한 뒤에 warpPerspective()를 이용하여 영상을 변환합니다.
cv::Mat src_persp(src.size(), CV_8UC1);
cv::Point2f srcPt2[4];
srcPt2[0] = cv::Point2f(0.f, 0.f);
srcPt2[1] = cv::Point2f(src.cols - 1.f, 0.f);
srcPt2[2] = cv::Point2f(0.f, src.rows - 1.f);
srcPt2[3] = cv::Point2f(src.cols - 1.f, src.rows - 1.f);
cv::Point2f dstPt2[4];
dstPt2[0] = cv::Point2f(40, 20);
dstPt2[1] = cv::Point2f(890, 50);
dstPt2[2] = cv::Point2f(10, 1000);
dstPt2[3] = cv::Point2f(990, 950);
cv::Mat perspMat = cv::getPerspectiveTransform(srcPt2, dstPt2);
cv::warpPerspective(src, src_persp, perspMat, src.size());

오늘 알아본 전체 소스는 아래와 같습니다.
#include <iostream>
#include "opencv2/opencv.hpp"
int main()
{
cv::Mat src = cv::imread("../../images/girl.png", cv::IMREAD_UNCHANGED);
if(src.empty()) return 1;
cv::Mat src_affine(src.size(), CV_8UC1);
cv::Point2f srcPt[3];
srcPt[0] = cv::Point2f(0.f, 0.f);
srcPt[1] = cv::Point2f(src.cols - 1.f, 0.f);
srcPt[2] = cv::Point2f(0.f, src.rows - 1.f);
cv::Point2f dstPt[3];
dstPt[0] = cv::Point2f(0.f, src.rows * 0.1f);
dstPt[1] = cv::Point2f(src.cols * 0.9, src.rows * 0.1f);
dstPt[2] = cv::Point2f(src.cols * 0.23, src.rows * 0.8f);
cv::Mat affineMat = cv::getAffineTransform(srcPt, dstPt);
cv::warpAffine(src, src_affine, affineMat, src.size());
cv::Mat src_persp(src.size(), CV_8UC1);
cv::Point2f srcPt2[4];
srcPt2[0] = cv::Point2f(0.f, 0.f);
srcPt2[1] = cv::Point2f(src.cols - 1.f, 0.f);
srcPt2[2] = cv::Point2f(0.f, src.rows - 1.f);
srcPt2[3] = cv::Point2f(src.cols - 1.f, src.rows - 1.f);
cv::Point2f dstPt2[4];
dstPt2[0] = cv::Point2f(110, 150);
dstPt2[1] = cv::Point2f(800, 70);
dstPt2[2] = cv::Point2f(10, 1000);
dstPt2[3] = cv::Point2f(990, 950);
cv::Mat perspMat = cv::getPerspectiveTransform(srcPt2, dstPt2);
cv::warpPerspective(src, src_persp, perspMat, src.size());
return 0;
}
그럼 이러한 변환을 언제 쓸까요?
최근 핸드폰 카메라로 문서를 촬영할 때 기울여서 문서를 촬영해도 스캔한 것(위에서 찍은 것)처럼 변환을 해주는 것을 보셨나요?
아래와 같이 대충 찍은 문서의 4 끝점 좌표를 입력하고, 원하는 사이즈의 영상의 크기의 직사각형으로 변환하는 행렬을 계산하면 오른쪽과 같은 영상을 얻을 수 있습니다.
